Bioinformatics Lab @ Wilmer Institute, Johns Hopkins University

New Search

Gene Code
UniGene Hs.287765
RefSeq NM_032115
Symbol KCNK16
Description Homo sapiens potassium channel, subfamily K, member 16 (KCNK16), mRNA
Ensembl ENSG00000095981
External Links: NCBIUCSC Genome BrowserEnsembl Genome BrowserGeneCard
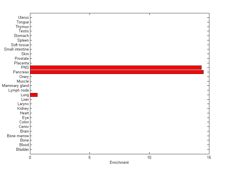
Expressed Sequence Tag (EST) Profile

 

About the profile:

The expression level is normalized with tissue-library size. Each value for a gene in a tissue is a ratio of observed ESTs to the expected one in this tissue. The expected number of ESTs is the product of total ESTs of the gene and the fraction of total ESTs in the tissue among all ESTs in 30 tissues.

Summary:

This gene is preferentially expressed in [pancreas]

Download:

EST profile