Bioinformatics Lab @ Wilmer Institute, Johns Hopkins University

New Search

Gene Code
UniGene Hs.38085
RefSeq NM_080661
Symbol GLYATL1
Description Homo sapiens glycine-N-acyltransferase-like 1 (GLYATL1), mRNA
Ensembl ENSG00000166840
External Links: NCBIUCSC Genome BrowserEnsembl Genome BrowserGeneCard
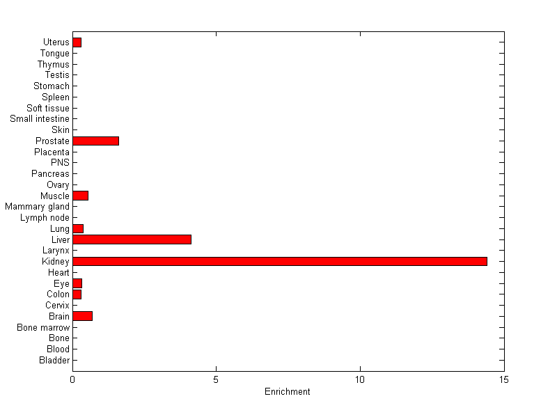
Expressed Sequence Tag (EST) Profile

 

About the profile:

The expression level is normalized with tissue-library size. Each value for a gene in a tissue is a ratio of observed ESTs to the expected one in this tissue. The expected number of ESTs is the product of total ESTs of the gene and the fraction of total ESTs in the tissue among all ESTs in 30 tissues.

Summary:

This gene is preferentially expressed in [kidney]

Download:

EST profile